Τα δίκτυα ηλεκτρικής ενέργειας αποτελούν τον πυρήνα λειτουργίας της σύγχρονης κοινωνίας. Για πάνω από 100 χρόνια, ο ρόλος των δικτύων ηλεκτρικής ενέργειας παραμένει ο ίδιος – να μεταφέρουν ενέργεια από τα σημεία παραγωγής στην κατανάλωση με ασφάλεια και αξιοπιστία.
Άρθρο του δρ. Πέτρου Αριστείδου*
Τα τελευταία χρόνια, οι κοινωνίες έχουν αυξήσει τις απαιτήσεις τους για ασφαλή, οικονομική και συγχρόνως βιώσιμη παροχή ηλεκτρικής ενέργειας. Ειδικά οι νέες περιβαλλοντικές απαιτήσεις και η ανάγκη για στροφή προς βιώσιμες πηγές ενέργειας σπρώχνουν συνεχώς τα συστήματα ηλεκτρικής ενέργειας στα όρια των δυνατοτήτων τους.
Για να ανταπεξέλθουν στις μοντέρνες απαιτήσεις, ο τρόπος λειτουργίας των δικτύων ηλεκτρικής ενέργειας σταδιακά αλλάζει, με τη χρήση έξυπνων συσκευών διαχείρισης των ροών ηλεκτρικού φορτίου, ψηφιακά συστήματα ελέγχου και εποπτείας, και με στροφή στις ανανεώσιμες πηγές ενέργειας. Στόχος είναι να αντικατασταθούν σταδιακά όλες οι πηγές ενέργειας με ορυκτό καύσιμο, οι οποίες μολύνουν το περιβάλλον, και να αντικατασταθούν με βιώσιμες πηγές, όπως ο ήλιος, ο άνεμος, η γεωθερμία, κλπ. Αυτή η αλλαγή όμως επιφέρει αρκετά προβλήματα στον τρόπο διαχείρισης και στην ασφάλεια των συστημάτων ηλεκτρικής ενέργειας. Θα δούμε κάποια από αυτά τα προβλήματα που εμπίπτουν στη κατηγορία προβλημάτων χαμηλής αδράνειας (low-inertia problems) και αφορούν στη διατήρηση της συχνότητας του δικτύου.
Ισοζύγιο ισχύος, συχνότητα του δικτύου και σύγχρονη μηχανή
Από την επικράτηση των συστημάτων εναλλασσόμενης τάσης μέχρι και σήμερα, η καρδιά των ηλεκτρικών δικτύων είναι οι σύγχρονες ηλεκτρικές μηχανές. Αν συνδυάσουμε όλες τις πηγές ενέργειας οι οποίες χρησιμοποιούν σύγχρονες ηλεκτρικές μηχανές για την ηλεκτρομηχανολογική μετατροπή ενέργειας (φυσικό αέριο, πετρέλαιο, λιγνίτης, πυρηνική ενέργεια, υδροηλεκτρικά, κλπ.), πάνω από το 90% της ηλεκτρικής ενέργειας ρέει στο δίκτυο μέσω των σύγχρονων γεννητριών.
Υπάρχουν πολλά πλεονεκτήματα στη λειτουργία του συστήματος που οδήγησαν στην επικράτηση των σύγχρονων γεννητριών, όπως η δυνατότητα ελέγχου της τάσης, η καλή δυναμική συμπεριφορά τους, και η ικανότητά τους να συγκρατούν και να επαναφέρουν τη συχνότητα του δικτύου και μαζί το ισοζύγιο ενέργειας.
Οι περισσότεροι μηχανικοί ισχύος γνωρίζουν ότι η συχνότητα της τάσης σε ένα δίκτυο ηλεκτρικής ενέργειας είναι άρρηκτα συνδεδεμένη με το ισοζύγιο ισχύος. Όταν η συχνότητα του συστήματος μειώνεται από την ονομαστική (50 Hz στην Ευρώπη), αυτό σημαίνει ότι η κατανάλωση στο σύστημα υπερβαίνει την παραγωγή. Όταν η συχνότητα αυξάνεται, τότε η παραγωγή υπερβαίνει της κατανάλωσης. Πώς όμως συνδέεται η συχνότητα του δικτύου με το ισοζύγιο ισχύος;
Για να απαντήσουμε αυτή την ερώτηση ας δούμε τη λειτουργία της σύγχρονης γεννήτριας με τη βοήθεια της Εικόνας 1. Η κινητήρια μηχανή (ατμοστρόβιλος, υδροστρόβιλος, εμβολοφόρα μηχανή, κλπ.) παρέχειμηχανική ενέργεια στην άτρακτο της σύγχρονης μηχανής και ηλεκτρική ενέργεια εξέρχεται από τους ακροδέκτες της στο στάτη.

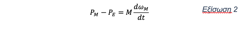
Από τη μηχανική, γνωρίζουμε ότι η μηχανική ροπή που επιβάλλεται από τη κινητήρια μηχανή ( ), η ηλεκτρομαγνητική ροπή που επιβάλλεται από τη γεννήτρια ( ) και η ταχύτητα περιστροφής του δρομέα ( ), συνδέονται μέσω της εξίσωση επιταχύνσεως:

όπου είναι η ροπή αδράνειας της μάζας του δρομέα και του μηχανικού μέρους της κινητήριας μηχανήςσε .Χρησιμοποιώντας αντίστοιχα την ισχύ, μπορούμε να γράψουμε την εξίσωση σαν:

όπου είναι η σταθερά αδράνειας της μηχανής, η μηχανική ισχύς που εισέρχεται στο σύστημα, και η ηλεκτρική ισχύς που εξέρχεται και τροφοδοτεί τα ηλεκτρικά φορτία. Για απλοποίηση έχουν αγνοηθεί όλες οι απώλειες.
Η Εξίσωση 2 είναι αυτή που δημιουργεί τη σύνδεση μεταξύ της συχνότητας του δικτύου ηλεκτρικής ενέργειας (η οποία είναι ανάλογη της μηχανικής ταχύτητας ) και του ισοζυγίου ισχύος ( ). Όταν η ισχύς που εισέρχεται στο σύστημα ( )είναι ίση με την ισχύ που καταναλώνεται από τα ηλεκτρικά φορτία ( ), η συχνότητα του δικτύου δε μεταβάλλεται. Μονομερής αύξηση του ηλεκτρικού φορτίου, οδηγεί στη μείωση του ρυθμού μεταβολής της συχνότητας (αρνητικό ) ενώ μονομερής μείωση του ηλεκτρικού φορτίου οδηγεί σε αύξηση του ρυθμού μεταβολής της συχνότητας (θετικό ).
Η σταθερά αδράνειας καθορίζει τον αντίκτυπο που έχει μια μεταβολή του ισοζυγίου ισχύος πάνω στη συχνότητα. Σε ένα σύστημα με μικρή αδράνεια, τόσο η συχνότητα όσο και ο ρυθμός μεταβολής της συχνότητας (που είναι ανάλογη του ) επηρεάζονται σημαντικά από τις αλλαγές στο ισοζύγιο. Δηλαδή, η συχνότητα μεταβάλλεται εύκολα και απότομα. Οι απότομες και ανεξέλεγκτες μεταβολές της συχνότητας μπορεί να προκαλέσουν διάφορα προβλήματα στο σύστημα, όπως αποσύνδεση γεννητριών για λόγους προστασίας, καταπόνηση μηχανικών μερών, αυξανόμενες ταλαντώσεις, διακοπή παροχής φορτίων, κλπ.
Μια χρήσιμη χαρακτηριστική παράμετρος μιας σύγχρονης γεννήτριας είναι η ανηγμένη σταθερά αδράνειας:

όπου είναι η ονομαστική ισχύς της γεννήτριας και η ονομαστική γωνιακή συχνότητα. Η σχέση αυτή αντιπροσωπεύει την ενέργεια που είναι αποθηκευμένη στα περιστρεφόμενα μηχανικά μέρη της γεννήτριας όταν αυτή λειτουργεί στην ονομαστική συχνότητα. Άρα η σχέση ισοζυγίου ισχύος και συχνότητας μπορεί να εξηγηθεί σαν συνάρτηση της αρχής διατήρησης της ενέργειας. Όταν το ισοζύγιο ισχύος είναι αρνητικό ( ), τότε τα μηχανικά μέρη της γεννήτριας επιβραδύνονται, ελευθερώνοντας αρκετή κινητική ενέργεια για να καλύψει τη διαφορά. Όταν το ισοζύγιο είναι θετικό ( ), τότε τα μηχανικά μέρη της γεννήτριας επιταχύνονται, αυξάνοντας έτσι την αποθηκευμένη κινητική τους ενέργειαγια να καλυφθεί η διαφορά ισχύος.
Με άλλα λόγια, οι σύγχρονες γεννήτριες,οι οποίες κυριαρχούν σήμερα στα δίκτυα ηλεκτρικής ενέργειας,διαθέτουν ενσωματωμένο σύστημα αποθήκευσης ενέργειας που επιτρέπει άμεσα να γίνονται διορθώσεις στο ισοζύγιο ισχύος.
Σχέση ανανεώσιμων πηγών ενέργειας και προβλήματα χαμηλής αδράνειας
Η σταδιακή αντικατάσταση των συμβατικών μονάδων παραγωγής ηλεκτρικής ενέργειας (ορυκτά καύσιμα) με ανανεώσιμες πηγές ενέργειας (ΑΠΕ) οδηγεί στην απομάκρυνση των σύγχρονων γεννητριών και ταυτόχρονα στη μείωση της συνολικής αδράνειας στο σύστημα. Καθώς οι ΑΠΕ είναι συνήθως συνδεδεμένες στο σύστημα μέσω διεπαφών ηλεκτρονικών ισχύος, δεν προσφέρουν άμεσα στην αδράνεια του συστήματος ή στη συγκράτηση του ρυθμού μεταβολής της συχνότητας. Επίσης, η αποθηκευμένη ενέργεια στα ηλεκτρικά μέρη των ηλεκτρονικών ισχύος των ΑΠΕ (όπως πυκνωτές) είναι αμελητέα σε σχέση με την αποθηκευμένη κινητική ενέργεια στα περιστρεφόμενα μέρη των σύγχρονων μηχανών.

Η Εικόνα 3 δείχνει τη μεταβολή της συχνότητας όταν αποσυνδεθεί απότομα μια γεννήτρια από το σύστημα (μείωση ) ή αυξηθεί απότομα το ηλεκτρικό φορτίο (αύξηση ). Βλέπουμε ότι σε ένα σύστημα υψηλής αδράνειας (κόκκινο χρώμα) ο μέγιστος ρυθμός μεταβολής καθώς επίσης και το ναδίρ της συχνότητας είναι μικρότερα σε σχέση με ένα σύστημα χαμηλής αδράνειας.

Διάφορες μονάδες παραγωγής και φορτία μέσα στο δίκτυο είναι ευαίσθητα σε απότομες ή/και μεγάλες μεταβολές συχνότητας. Η συμπεριφορά που φαίνεται στην Εικόνα 3 μπορεί να οδηγήσει στην ενεργοποίηση των συστημάτων προστασίας, οδηγώντας έτσι σε μια αλυσιδωτή αντίδραση με διαδοχικές αποσυνδέσεις.
Τέλος, ο μειωμένος αριθμός σύγχρονων γεννητριών λόγω διείσδυσης ΑΠΕ μειώνει σημαντικά την ισχύ βραχυκυκλώσεως στους διάφορους ζυγούς του δικτύου. Αυτό συμβαίνει διότι οι ΑΠΕ δεν προσφέρουν μεγάλο ρεύμα βραχυκύκλωσης καθώς, μέσω των εσωτερικών συστημάτων ελέγχου, περιορίζουν τις υπερεντάσεις στις ονομαστικές τιμές ρεύματος. Η μειωμένη ισχύς βραχυκύκλωσης περιορίζει την ικανότητα των συστημάτων προστασίας να εντοπίζουν και να περιορίζουν τα σφάλματα βραχυκύκλωσης.
Τα προβλήματα χαμηλής αδράνειας που περιγράψαμε πιο πάνω αποτελούν έναν από τους κύριους αποτρεπτικούς παράγοντες στην ενσωμάτωση μεγάλου ποσοστού ΑΠΕ. Χώρες με απομονωμένα ηλεκτρικά δίκτυα (όπως τα νησιωτικά συστήματα), αντιμετωπίζουν ήδη σημαντικούς περιορισμούς στη διείσδυση ΑΠΕ. Αν δεν παρθούν τα κατάλληλα μέτρα για τη συγκράτηση της συχνότητας του δικτύου και τον ανασχεδιασμό των συστημάτων προστασίας, κινδυνεύει να ανατραπεί ο σχεδιασμός για βιώσιμα συστήματα ηλεκτρικής ενέργειας.
Τρόποι αντιμετώπισης προβλημάτων χαμηλής αδράνειας σε συστήματα ηλεκτρικής ενέργειας
Τα τελευταία χρόνια έχουν προταθεί διάφορα μέτρα ή τεχνικές, είτε διορθωτικά είτε προληπτικά, για να αντιμετωπισθούν τα προβλήματα χαμηλής αδράνειας. Κάποια παραδείγματα συζητούνται πιο κάτω.
Ενίσχυση νομικού πλαισίου για παροχή υπηρεσιών συγκράτησης συχνότητας από ΑΠΕ: Σε πολλούς σύγχρονους κώδικες δικτύων, οι μονάδες ΑΠΕ είναι υποχρεωμένες να προσφέρουν υπηρεσίες συγκράτησης της συχνότητας. Ένας τέτοιος κανονισμός είναι ο «Regulations for Generators»της Ευρωπαϊκής Ένωσης που καθορίζει τη συμπεριφορά μονάδων διεσπαρμένης παραγωγής και μεταφέρεται σταδιακά στους εθνικούς κώδικες. Ανάλογα με την ονομαστική τους ισχύ, οι ΑΠΕ είναι υποχρεωμένες να συμμετέχουν στη διαχείριση της συχνότητας του δικτύου με έλεγχο υπό- και υπέρ-συχνότητας.
Για συμμετοχή σε διαχείριση υποσυχνότητας, οι μονάδες ΑΠΕ πρέπει να εξοπλιστούν με κατάλληλα συστήματα αποθήκευσης ενέργειας ή να λειτουργούν με περιθώριο για ρύθμιση προς τα πάνω (δηλαδή, κάτω από τη μέγιστη διαθέσιμη ισχύ). Αυτό είναι αναγκαίο για να μπορούν να εγχέουν ενέργεια στο σύστημα όταν ανιχνευτεί έλλειμα στο ισοζύγιο ισχύος. Η δεύτερη λύση οδηγεί σε απώλεια ενέργειας από ΑΠΕ αλλά ταυτόχρονα επιτρέπει τη συγκράτηση της συχνότητας και έτσι την αύξηση της συνολικής διείσδυσης ΑΠΕ.
Χρήση μονάδων αποθήκευσης ηλεκτρικής ενέργειας: Όπως αναφέραμε, η αδράνεια των σύγχρονων γεννητριών είναι άρρηκτα συνδεδεμένη με την ενέργεια που είναι αποθηκευμένη στα στρεφόμενα μηχανικά μέρη. Η εγκατάσταση νέων μονάδων αποθήκευσης ηλεκτρικής ενέργειας, μαζί με τεχνικές ελέγχου για την απελευθέρωση αυτής της ενέργειας σαν συνάρτηση του ρυθμού μεταβολής της συχνότητας, μπορεί να προσφέρει συνθετική αδράνεια ικανή να συγκρατήσει τη συχνότητα. Η συμπεριφορά αυτή αντιγράφει τη λειτουργία των γεννητριών και συχνά αναφέρεται ως λειτουργία εικονικής σύγχρονης μηχανής. Διάφορες μονάδες αποθήκευσης μπορούν να χρησιμοποιηθούν για αυτό το σκοπό όπως χημικές (μπαταρίες), μηχανικές (σφόνδυλοι), ή ηλεκτρικές (υπερπυκνωτές). Το νομικό πλαίσιο σε διάφορες χώρες έχει ήδη αλλάξει δημιουργώντας τη δομή για την επικερδή συμμετοχή τέτοιων μονάδων σε αγορές υπηρεσιών συχνότητας.
Διαχείριση ευέλικτων φορτίων: Ενώ παραδοσιακά οι μονάδες παραγωγής ήταν υπεύθυνες να συγκρατούν τη μεταβολή της συχνότητας, τα τελευταία χρόνια γίνεται προσπάθεια για τη συμμετοχή του φορτίου στη ρύθμιση του ισοζυγίου ισχύος. Η συγκράτηση της συχνότητας μπορεί να γίνει με τη διαχείριση των φορτίων, μειώνοντας ή αυξάνοντας κατάλληλα τηνκατανάλωση. Τέτοια ευέλικτα φορτία αποτελούν συνήθως μονάδες ψύξης/θέρμανσης, βιομηχανικά φορτία, ή ηλεκτρικά αυτοκίνητα. Σε αρκετές χώρες, συσσωρευμένες ομάδες από τέτοια φορτία μπορούν να συμμετάσχουν στην αγορά υπηρεσιών χρησιμοποιώντας συστήματα επικοινωνίας και συντονισμού.
Επανασχεδιασμός συστημάτων προστασίας: Παρόλο που τα πιο πάνω μέτρα στόχο έχουν τη συγκράτηση της συχνότητας, μελέτες έχουν δείξει ότι ήδη σε αρκετά δίκτυα η συμπεριφορά της συχνότητας έχει ήδη αλλάξει. Για να αποφευχθούν αλυσιδωτές αντιδράσεις από τη λανθασμένη ενεργοποίηση προστασίας, πρέπει να επανασχεδιαστούν και να ρυθμιστούν εκ νέου τα συστήματα. Χρησιμοποιώντας ασφαλή δίκτυα επικοινωνίας και κεντρικής επιτήρησης, μπορεί να μειωθεί κατακόρυφα ο κίνδυνος για εσφαλμένη λειτουργία των προστασιών.
Συμπεράσματα
Η μεγάλη διείσδυση των ΑΠΕ στα δίκτυα ηλεκτρικής ενέργειας και η αντικατάσταση των μονάδων παραγωγής με διεπαφή τη σύγχρονη γεννήτρια, οδηγεί σε ακανόνιστη και μη ασφαλή μεταβολή της συχνότητας λόγω της απώλειας αδράνειας του συστήματος. Η συμπεριφορά αυτή της συχνότητας οδηγεί σε διάφορα προβλήματα, συνοπτικά αναφερόμενα ως προβλήματα χαμηλής αδράνειας, που εμποδίζουν την περαιτέρω αύξηση της διείσδυσης ΑΠΕ.
Ο μόνος τρόπος για να περιοριστούν τα προβλήματα αυτά και να ανοίξει ο δρόμος για ασφαλή και βιώσιμα δίκτυα ηλεκτρικής ενέργειας, είναι η ενσωμάτωση δικλείδων και τεχνολογιών που να επιτρέπουν την ασφαλή μετάβαση προς συστήματα χαμηλής αδράνειας.
*Ο Δρ. Πέτρος Αριστείδου είναι Λέκτορας Αειφόρων Συστημάτων Ισχύος στο Τεχνολογικό Πανεπιστήμιο Κύπρου.







